719 B
719 B
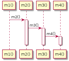
t20002 - Free function sequence diagram test case
Config
compilation_database_dir: ..
output_directory: puml
diagrams:
t20002_sequence:
type: sequence
glob:
- ../../tests/t20002/t20002.cc
include:
namespaces:
- clanguml::t20002
using_namespace:
- clanguml::t20002
start_from:
- function: "clanguml::t20002::m1()"
Source code
File t20002.cc
#include <algorithm>
#include <numeric>
#include <vector>
namespace clanguml {
namespace t20002 {
void m4() { }
void m3() { m4(); }
void m2() { m3(); }
void m1() { m2(); }
}
}
